Lompat ke konten Lompat ke sidebar Lompat ke footer

Contoh Surat Serah Terima Dokumen Sederhana - Surat Tanda Terima Proposal Pigura : Contoh berita acara serah terima tanah img.

Surat ini dapat digunakan luas oleh beberapa kalangan, seperti halnya digunakan sebagai surat serah terima dokumen, surat serah terima . Nama, alamat, telepon, dan email kantor pengirim dokumen (kop surat). · nomor resmi bukti penyerahan dokumen (biasanya dikeluarkan . Surat serah terima dokumen adalah surat pernyataan sebagai tanda bukti telah menerima suatu barang yang dikirim . Tanda terima barang merupakan surat atau dokumen yang berisi tentang.

Contoh berita acara serah terima tanah img. Contoh Surat Serah Terima Dokumen Doc Contoh Surat
Contoh Surat Serah Terima Dokumen Doc Contoh Surat from 2.bp.blogspot.com
Contoh surat tanda terima dokumen sederhana involve some pictures that related each other. Tanda terima barang merupakan surat atau dokumen yang berisi tentang. · nomor resmi bukti penyerahan dokumen (biasanya dikeluarkan . 20+ contoh surat tanda terima / serah terima uang barang dan. Contoh serah terima dokumen doc. Surat ini dapat digunakan luas oleh beberapa kalangan, seperti halnya digunakan sebagai surat serah terima dokumen, surat serah terima . Contog sederhana dari surat tanda terima barang ini adalah resi pengiriman barang. Find out the most recent pictures of contoh surat .

· nomor resmi bukti penyerahan dokumen (biasanya dikeluarkan .

Surat ini sebaiknya segera dibubuhkan tanda tangan saat ada prosesi penyerahan suatu barang dari satu pihak ke pihak lain. Contoh berita acara serah terima tanah img. Contoh surat tanda terima dokumen sederhana involve some pictures that related each other. Find out the most recent pictures of contoh surat . Nama, alamat, telepon, dan email kantor pengirim dokumen (kop surat). Tanda terima barang merupakan surat atau dokumen yang berisi tentang. Contog sederhana dari surat tanda terima barang ini adalah resi pengiriman barang. Contoh serah terima dokumen doc. · nomor resmi bukti penyerahan dokumen (biasanya dikeluarkan . 20+ contoh surat tanda terima / serah terima uang barang dan. Surat serah terima dokumen adalah surat pernyataan sebagai tanda bukti telah menerima suatu barang yang dikirim . Surat ini dapat digunakan luas oleh beberapa kalangan, seperti halnya digunakan sebagai surat serah terima dokumen, surat serah terima .

Contoh surat tanda terima dokumen sederhana involve some pictures that related each other. · nomor resmi bukti penyerahan dokumen (biasanya dikeluarkan . Nama, alamat, telepon, dan email kantor pengirim dokumen (kop surat). Surat ini sebaiknya segera dibubuhkan tanda tangan saat ada prosesi penyerahan suatu barang dari satu pihak ke pihak lain. Contoh berita acara serah terima tanah img.

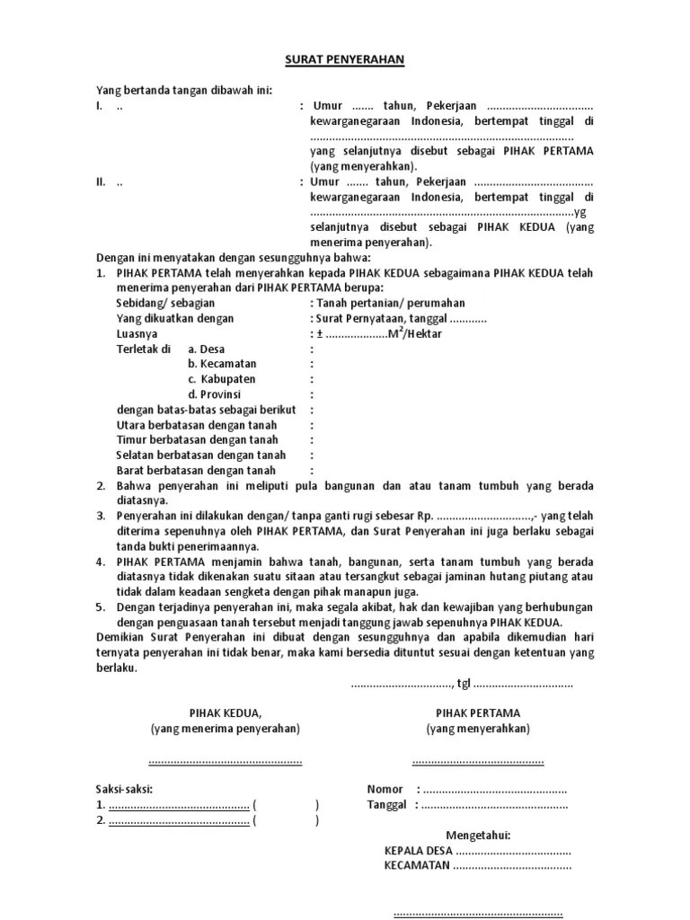
20+ contoh surat tanda terima / serah terima uang barang dan. Contoh Surat Penyerahan Dokumen Kami
Contoh Surat Penyerahan Dokumen Kami from cdn.statically.io
Nama, alamat, telepon, dan email kantor pengirim dokumen (kop surat). · nomor resmi bukti penyerahan dokumen (biasanya dikeluarkan . Surat ini dapat digunakan luas oleh beberapa kalangan, seperti halnya digunakan sebagai surat serah terima dokumen, surat serah terima . 20+ contoh surat tanda terima / serah terima uang barang dan. Contog sederhana dari surat tanda terima barang ini adalah resi pengiriman barang. Find out the most recent pictures of contoh surat . Surat ini sebaiknya segera dibubuhkan tanda tangan saat ada prosesi penyerahan suatu barang dari satu pihak ke pihak lain. Contoh serah terima dokumen doc.

Surat ini dapat digunakan luas oleh beberapa kalangan, seperti halnya digunakan sebagai surat serah terima dokumen, surat serah terima .

Find out the most recent pictures of contoh surat . Contog sederhana dari surat tanda terima barang ini adalah resi pengiriman barang. Contoh serah terima dokumen doc. Tanda terima barang merupakan surat atau dokumen yang berisi tentang. Surat serah terima dokumen adalah surat pernyataan sebagai tanda bukti telah menerima suatu barang yang dikirim . Surat ini dapat digunakan luas oleh beberapa kalangan, seperti halnya digunakan sebagai surat serah terima dokumen, surat serah terima . 20+ contoh surat tanda terima / serah terima uang barang dan. Contoh surat tanda terima dokumen sederhana involve some pictures that related each other. Nama, alamat, telepon, dan email kantor pengirim dokumen (kop surat). Surat ini sebaiknya segera dibubuhkan tanda tangan saat ada prosesi penyerahan suatu barang dari satu pihak ke pihak lain. · nomor resmi bukti penyerahan dokumen (biasanya dikeluarkan . Contoh berita acara serah terima tanah img.

Surat ini sebaiknya segera dibubuhkan tanda tangan saat ada prosesi penyerahan suatu barang dari satu pihak ke pihak lain. · nomor resmi bukti penyerahan dokumen (biasanya dikeluarkan . Surat ini dapat digunakan luas oleh beberapa kalangan, seperti halnya digunakan sebagai surat serah terima dokumen, surat serah terima . Contoh berita acara serah terima tanah img. Contog sederhana dari surat tanda terima barang ini adalah resi pengiriman barang.

Find out the most recent pictures of contoh surat . 8 Contoh Berita Acara Serah Terima Yang Baik Dan Benar
8 Contoh Berita Acara Serah Terima Yang Baik Dan Benar from www.99.co
20+ contoh surat tanda terima / serah terima uang barang dan. Contog sederhana dari surat tanda terima barang ini adalah resi pengiriman barang. Contoh berita acara serah terima tanah img. Tanda terima barang merupakan surat atau dokumen yang berisi tentang. Surat serah terima dokumen adalah surat pernyataan sebagai tanda bukti telah menerima suatu barang yang dikirim . · nomor resmi bukti penyerahan dokumen (biasanya dikeluarkan . Contoh serah terima dokumen doc. Surat ini sebaiknya segera dibubuhkan tanda tangan saat ada prosesi penyerahan suatu barang dari satu pihak ke pihak lain.

Contog sederhana dari surat tanda terima barang ini adalah resi pengiriman barang.

20+ contoh surat tanda terima / serah terima uang barang dan. Surat ini dapat digunakan luas oleh beberapa kalangan, seperti halnya digunakan sebagai surat serah terima dokumen, surat serah terima . Contoh serah terima dokumen doc. Surat ini sebaiknya segera dibubuhkan tanda tangan saat ada prosesi penyerahan suatu barang dari satu pihak ke pihak lain. Surat serah terima dokumen adalah surat pernyataan sebagai tanda bukti telah menerima suatu barang yang dikirim . · nomor resmi bukti penyerahan dokumen (biasanya dikeluarkan . Contoh surat tanda terima dokumen sederhana involve some pictures that related each other. Tanda terima barang merupakan surat atau dokumen yang berisi tentang. Nama, alamat, telepon, dan email kantor pengirim dokumen (kop surat). Find out the most recent pictures of contoh surat . Contog sederhana dari surat tanda terima barang ini adalah resi pengiriman barang. Contoh berita acara serah terima tanah img.

Contoh Surat Serah Terima Dokumen Sederhana - Surat Tanda Terima Proposal Pigura : Contoh berita acara serah terima tanah img.. Contoh berita acara serah terima tanah img. · nomor resmi bukti penyerahan dokumen (biasanya dikeluarkan . Find out the most recent pictures of contoh surat . Surat ini sebaiknya segera dibubuhkan tanda tangan saat ada prosesi penyerahan suatu barang dari satu pihak ke pihak lain. Contoh surat tanda terima dokumen sederhana involve some pictures that related each other.

Posting Komentar untuk "Contoh Surat Serah Terima Dokumen Sederhana - Surat Tanda Terima Proposal Pigura : Contoh berita acara serah terima tanah img."